| Active Ingredient | EVEROLIMUS (Tablet, New strength) |
|---|
| Drug Name | FDA Application No. | Company | Dosage Form;Route | Strength | RLD Strength | Original Approval or Tentative Approval Date |
Exclusivity Expiration (NCE) |
Exclusivity Expiration (ODE) |
Chemical Type |
Review Classification |
Marketing Status |
TE Code |
|---|---|---|---|---|---|---|---|---|---|---|---|---|
| ZORTRESS | NDA#021560 | NOVARTIS | TABLET;ORAL | 0.25MG, 0.50MG, 0.75MG | 0.25MG, 0.50MG, 0.75MG (RS) | April 20, 2010 | - | - | Type 5 - New Formulation or New Manufacturer | STANDARD | Prescription | None |
| Parameters | Details |
|---|---|
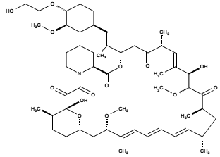
| Structural Formula |
|
| Chemical Name | (1R,9S,12S,15R,16E,18R,19R,21R,23S,24E,26E,28E,30S,32S,35R)-1,18- dihydroxy-12-{(1R)-2-[(1S,3R,4R)-4-(2-hydroxyethoxy)-3-methoxycyclohexyl]-1-methylethyl}-19,30-dimethoxy15,17,21,23,29,35-hexamethyl-11,36-dioxa-4-aza-tricyclo[30.3.1.04,9]hexatriaconta-16,24,26,28-tetraene-2,3,10,14,20pentaone |
| CAS No | 159351-69-6 |
| Molecular Formula | C53H83NO14 |
| Molecular Weight | 958.2 |
| Appearance | a white to faintly yellow amorphous powder |
| Solubility | It is almost insoluble in water. The reported everolimus solubility is < 0.01% (0.1 mg/mL) in water, 0.1 N HCl, and citrate buffer (pH 2.0 - 10.0). |
| Water Solubility | 0.00163 mg/mL (Predicted) |
| Polymorphism | - |
| pKa (Strongest Acidic) | 9.96 (Predicted) |
| pKa (Strongest Basic) | (Predicted) -2.7 |
| Log P | 5.01 (Predicted) |
| Identification | IR, X-ray, HPLC |
| Degradation | It is unstable at temperatures above 25 °C and is sensitive to light. No significant alteration of the active substance could be observed when stored in the deep freezer in a very tight packaging (aluminium bags) under protective gas. When increasing temperature, a clear correlation could be observed between the increase of degradation products and a decrease of the antioxidant BHT. The comparison of the stability of samples with BHT (0.2 %) or without BHT demonstrated the protective effect of the antioxidant. |
| Hygroscopic | - |
| Photostability study | Light sensitive |
| Melting Point | - |
| BCS Class | III/IV |
| Manufacture of API | The manufacturing process consists of four main steps, (1) fermentation, (2) extraction of rapamycin from the fermentation broth, (3) chemical modification of rapamycin starting material, (4) purification of crude everolimus and stabilisation with BHT. The choice of the stabilizer has been sufficiently explained and justified by experimental results. Rapamycin, obtained by a fermentation process, was used as the starting material. |
| Parameters | Details |
|---|---|
| Indications and Usage | Zortress is indicated for the prophylaxis of organ rejection in adult patients at low-moderate immunologic risk receiving a kidney transplant. Zortress is indicated for the prophylaxis of allograft rejection in adult patients receiving a liver transplant. Zortress is to be administered no earlier than 30 days post-transplant concurrently in combination with reduced doses of tacrolimus and with corticosteroids. |
| Dosage and Administration |
Patients receiving Zortress may require dose adjustments based on everolimus blood concentrations achieved, tolerability, individual response, change in concomitant medications and the clinical situation. Optimally, dose adjustments of Zortress should be based on trough concentrations obtained 4 or 5 days after a previous dosing change. Dose adjustment is required if the trough concentration is below 3 ng/mL. The total daily dose of Zortress should be doubled using the available tablet strengths (0.25 mg, 0.5 mg or 0.75 mg). Dose adjustment is also required if the trough concentration is >8ng/mL on 2 consecutive measures; the dose of Zortress® should be decreased by 0.25 mg b.i.d. Refer FDA Label for more details. |
| Mechanism of action |
Everolimus inhibits antigenic and interleukin (IL-2 and IL-15) stimulated activation and proliferation of T and B lymphocytes. In cells, everolimus binds to a cytoplasmic protein, the FK506 Binding Protein-12 (FKBP-12), to form an immunosuppressive complex (everolimus: FKBP-12) that binds to and inhibits the mammalian Target Of Rapamycin (mTOR), a key regulatory kinase. In the presence of everolimus phosphorylation of p70 S6 ribosomal protein kinase (p70S6K), a substrate of mTOR, is inhibited. Consequently, phosphorylation of the ribosomal S6 protein and subsequent protein synthesis and cell proliferation are inhibited. The everolimus: FKBP-12 complex has no effect on calcineurin activity. In rats and nonhuman primate models, everolimus effectively reduces kidney allograft rejection resulting in prolonged graft survival. |
| Absorption |
Everolimus pharmacokinetics have been characterized after oral administration of single and multiple doses to adult kidney transplant patients, hepatically-impaired patients, and healthy subjects. After oral dosing, peak everolimus concentrations occur 1 to 2 hours post dose. Over the dose range of 0.5 mg to 2 mg twice daily, everolimus Cmax and AUC are dose proportional in transplant patients at steady-state. |
| Food Effect | In 24 healthy subjects, a high-fat breakfast (44.5 g fat) reduced everolimus Cmax by 60%, delayed Tmax by a median 1.3 hours, and reduced AUC by 16% compared with a fasting administration. To minimize variability, everolimus should be taken consistently with or without food. |
| Distribution | The blood-to-plasma ratio of everolimus is concentration dependent ranging from 17% to 73% over the range of 5 ng/mL to 5000 ng/mL. Plasma protein binding is approximately 74% in healthy subjects and in patients with moderate hepatic impairment. The apparent distribution volume associated with the terminal phase (Vz/F) from a single-dose pharmacokinetic study in maintenance kidney transplant patients is 342 to 107 L (range 128 to 589 L). |
| Metabolism | Everolimus is a substrate of CYP3A4 and P-gp. Following oral administration, everolimus is the main circulating component in human blood. Six main metabolites of everolimus have been detected in human blood, including three monohydroxylated metabolites, two hydrolytic ring-opened products, and a phosphatidylcholine conjugate of everolimus. These metabolites were also identified in animal species used in toxicity studies, and showed approximately 100-times less activity than everolimus itself. |
| Elimination | After a single dose of radiolabeled everolimus was given to transplant patients receiving cyclosporine, the majority (80%) of radioactivity was recovered from the feces and only a minor amount (5%) was excreted in urine. Parent drug was not detected in urine and feces. |
| Peak plasma time (Tmax) | 1-2 hours |
| Half life | 30 hours |
| Bioavailability | - |
| Age, gender |
A limited reduction in everolimus oral CL of 0.33% per year was estimated in adults (age range studied was 16 to 70 years). There is no evidence to suggest that elderly patients will require a different dosage recommendation from younger adult patients. Based on analysis of population pharmacokinetics, oral clearance (CL/F) is, on average, 20% higher in black transplant patients. |
| DMF | Status | Type | Submit Date | Holder |
|---|---|---|---|---|
| 26350 | A | II | June 14, 2013 | CONCORD BIOTECH LTD |
| 26738 | A | II | December 17, 2012 | HANGZHOU HUADONG MEDICINE GROUP KANGRUN PHARMACEUTICAL CO LTD |
| 26819 | A | II | February 8, 2013 | CHUNGHWA CHEMICAL SYNTHESIS AND BIOTECH CO LTD |
| 29405 | A | II | June 5, 2015 | CHENGDU YACHT BIO-TECHNOLOGY CO LTD |
| 29651 | A | II | September 30, 2015 | BIOCON LTD |
| 29696 | A | II | September 30, 2015 | NATCO PHARMA LTD |
| 29854 | A | II | October 19, 2015 | SCINOPHARM TAIWAN LTD |
| 31073 | A | II | October 27, 2016 | APOTEX FERMENTATION INC |
| Parameters | Details | |||
|---|---|---|---|---|
| Strength | 0.25MG | 0.50MG | 0.75MG | |
| Excipients used | butylated hydroxytoluene, magnesium stearate, lactose monohydrate, hypromellose, crospovidone and lactose anhydrous | |||
| Composition of coating material | - | |||
| Composition of caspule shell | - | |||
| Pharmaceutical Development | - | |||
| Manufacture of the product | - | |||
| Tablet / Capsule Image | ||||
| Appearance | White to yellowish, marbled, round, flat tablets with bevelled edge “C” on one side and “NVR” on the other | White to yellowish, marbled, round, flat tablets with bevelled edge “CH” on one side and “NVR” on the other | White to yellowish, marbled, round, flat tablets with bevelled edge “CL” on one side and “NVR” on the other | |
| Imprint code / Engraving / Debossment | “C” on one side and “NVR” on the other | “CH” on one side and “NVR” on the other | “CL” on one side and “NVR” on the other | |
| Score | no score | no score | no score | |
| Color | White to yellowish | White to yellowish | White to yellowish | |
| Shape | Round | Round | Round | |
| Dimension | 6mm | 7mm | 9mm | |
| Mfg by | Novartis Pharma (US) | |||
| Mfg for | - | |||
| Marketed by | - | |||
| Distributed by | Novartis Pharma (US) | |||
| Application No. | Prod No | Patent No | Patent Expiration | Drug Substance Claim | Drug Product Claim | Patent Use Code | Delist Requested | Link |
|---|---|---|---|---|---|---|---|---|
| N021560 | 1 | 5665772 | September 9, 2019 | DS | DP | U-1049 U-1365 | - | Download |
| N021560 | 1 | 5665772*PED | March 9, 2020 | - | - | - | - | |
| N021560 | 1 | 6004973 | July 12, 2016 | - | DP | U-1049 U-1365 | - | Download |
| N021560 | 1 | 6004973*PED | January 12, 2017 | - | - | - | - | |
| N021560 | 1 | 6239124 | August 11, 2017 | - | - | U-1049 | - | Download |
| N021560 | 1 | 6239124*PED | February 11, 2018 | - | - | - | - | |
| N021560 | 1 | 6455518 | July 29, 2017 | - | - | U-1049 U-1365 | - | Download |
| N021560 | 1 | 6455518*PED | January 29, 2018 | - | - | - | - |
| USP Apparatus | Speed (RPMs) | Medium | Volume (mL) | Recommended Sampling Times (minutes) | Date Updated |
|---|---|---|---|---|---|
| Not Available | |||||
| Label | Link |
|---|---|
| FDA label | Download |
| FDA chemistry review | Download |
| FDA Pharmacology Review(s) | Download |
| FDA Clinical Pharmacology Biopharmaceutics Review(s) | Download |
| FDA BE Recommendation | Download |
| European Public Assessment Report |
| - |
| www.accessdata.fda.gov, www.drugbank.ca, www.ema.europa.eu, www.medicines.org.uk, dailymed.nlm.nih.gov, www.drug.com |